Hilfe
  • Allgemeine Hilfe zu diesem Level
    Beim Ziehen mit Zurücklegen wirkt sich der vorhergehende Zug nicht auf die Wahrscheinlichkeiten bei den nachfolgenden Zügen aus.
  • Weitere Hilfethemen

Aufgabe

Aufgabe 1 von 1 in Level 11
  • Aufgabe 4b (1 Punkt)
  • Wiederholung:
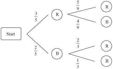
    Aus einer Urne mit 6 roten und 4 blauen Kugeln werden nacheinander 2 Kugeln gezogen. Zu diesem Zufallsexperiment gehört das nachstehende Baumdiagramm.
    graphik
    Wurde in diesem Zufallsexperiment mit oder ohne Zurücklegen gezogen? Begründen Sie Ihre Entscheidung anhand des Baumdiagramms.
    Es wurde     
     
    mit
     
         
     
    ohne
    Zurücklegen gezogen, da
     
    3
    5
     
     
    1
    3
     
    3
    5
     
     
    4
    9
     
    5
    9
     
     
    4
    9
     
    5
    9
     
     
    2
    3
    Quelle: Bayerischer Mathematiktest, Klasse 10, 2008
  • keine Berechtigung
Hilfe
Hilfe
Notizfeld
Notizfeld
Tastatur
Tastatur für Sonderzeichen
Kein Textfeld ausgewählt! Bitte in das Textfeld klicken, in das die Zeichen eingegeben werden sollen.
Lösung
Achtung
Du hast noch keinen eigenen Lösungsversuch gestartet. Sobald du auf »Lösung anzeigen« klickst, gilt die Aufgabe als nicht gelöst und die Bewertung deiner Leistung für diesen Level verschlechtert sich. Tipp: Sieh dir vor dem Anzeigen der Lösung die Hilfe zu dieser Aufgabe an.
Stoff zum Thema
Welche sind die gängigen Flächeneinheiten und ihre Umrechnungszahlen?
#97
Flächen werden üblicherweise in folgenden Einheiten angegeben:
  • mm²
  • cm² (=100 mm²)
  • dm² (=100 cm²)
  • m² (=100 dm²)
  • a (=100 m²)
  • ha (=100 a)
  • km² (=100 ha)
Die Umrechnungszahl ist ausnahmslos 100 (bei Längen dagegen 10).
Was sind die fünf grundlegenden Potenzgesetze?
#539
Potenzgesetze:
  1. Potenzen mit gleicher Basis werden multipliziert, indem man die Exponenten addiert und die Basis beibehält.
    ap · aq = ap + q

  2. Potenzen mit gleicher Basis werden dividiert, indem man die Exponenten subtrahiert und die Basis beibehält.
    ap : aq = ap − q

  3. Potenzen mit gleichen Exponenten werden multipliziert, indem man die Basen multipliziert und den Exponenten beibehält.
    aq · bq = (a · b)q

  4. Potenzen mit gleichen Exponenten werden dividiert, indem man die Basen dividiert und den Exponenten beibehält.
    aq : bq = (a : b)q

  5. Potenzen werden potenziert, indem man die Exponenten multipliziert.
    (ap)q = ap·q
Was sind gleichartige Terme in der Mathematik?
#115
Zwei Produkte, in denen dieselben Variablen in derselben Potenz auftreten, heißen gleichartig.

Nur gleichartige Produkte können durch Addition und Subtraktion zusammengefasst werden. Dabei werden die zugehörigen Zahlen addiert/subtrahiert ("Äpfel mit Äpfeln und Birnen mit Birnen").

Was ist die Definition von \( \sqrt{a} \), was ist der Radikand und welche Bedingungen muss dieser erfüllen?
#224
Die Wurzel einer nicht negativen Zahl a ist diejenige nicht negative Zahl Zahl, die quadriert a ergibt, also

(√a)2 = a.

Die Zahl unter der Wurzel nennt man Radikand.

Laut dieser Definition gilt also: Weder der Radikand noch der Wert des Wurzelterms dürfen/können negativ sein!
Wie lauten die Formeln für Sinus, Kosinus und Tangens im rechtwinkligen Dreieck?
#454
Sei α ein Winkel < 90° im rechtwinkligen Dreieck. Mit "Gegenkathete" sei die Kathete gemeint, die α gegenüberliegt, mit "Ankathete" diejenige, die an α anliegt. Dann gelten folgende Zusammenhänge:
  • sin(α)= Gegenkathete / Hypotenuse
  • cos(α)= Ankathete / Hypotenuse
  • tan(α)= Gegenkathete / Ankathete
Wie berechnet man die Steigung einer Geraden mit zwei gegebenen Punkten?
#151
Ist eine Gerade g durch zwei Punkte A(x1|y1) und B(x2|y2) gegeben, so kann man ihre Steigung m so berechnen:
  1. Berechne die Differenz der y-Werte beider Punkte, also Δy = y2 − y1.
  2. Berechne ebenso die Differenz der x-Werte beider Punkte, also Δx = x2 − x1.
  3. Der Bruch Δy / Δx ergibt die Steigung m.
Wie lautet der Satz des Pythagoras ohne Verwendung von Variablen?
#394
Nach dem Satz des Pythagoras gilt in jedem rechtwinkligen Dreieck:

Hypotenuse2 = erste Kathete2 + zweite Kathete2

Zur Erinnerung: Die Hypotenuse ist diejenige der drei Seiten, die dem rechten Winkel gegenüber liegt. Sie ist damit auch immer die längste aller drei Seiten.
Was sind die drei Pfadregeln in einem Baumdiagramm?
#379
In einem Baumdiagramm gelten folgende Pfadregeln:
  1. Die Wahrscheinlichkeit eines Pfads ergibt sich durch Multiplikation der Ast-Wahrscheinlichkeiten entlang des Pfads (Produktregel).
  2. Die Wahrscheinlichkeit eines Ereignisses ergibt sich durch Addition der Wahrscheinlichkeiten aller Pfade, die zu dem Ereignis führen (Summenregel).
  3. Die Wahrscheinlichkeiten aller Äste, die von einem Verzweigungspunkt ausgehen, ergeben in der Summe 1 (Verzweigungsregel).
Was muss bei der Definitionsmenge gebrochen-rationaler Funktionen beachtet werden?
#271
Bei gebrochen-rationalen Funktionen sind die x-Werte auszuschließen ("Definitionslücken"), die zum Wert 0 im Nenner führen.